Open Procurement Albania

Blerje GPS-GNSS Base / Rover dhe Total Station

Nje shenim me RedFlag eshte nje fakt, ngjarje, ose grup i rrethanave ose informacione te tjera qe mund te tregojne nje shqetesim apo ekspozim dhe mbi rrezik potencial te pajtueshmerise ligjore per sjellje te paligjshme ose joetike te biznesit, vecanerisht ne lidhje me praktika korruptive dhe mosrespektimit te ligjeve anti-korrupsion.Vleresimi per keto kategori do te behet ne menyre automatike, me filtra analitik te paracaktuar

  • Skualifikim i te gjithe operatoreve konkurrues pervec fituesit/Skualifikim i ofertes vlere me e ulet
  • Skualifikim i te gjithe operatoreve konkurrues pervec fituesit/ Skualifikim i ofertes vlere me e ulet

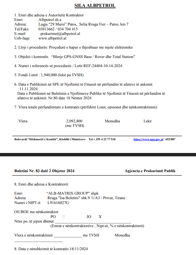
Institucioni Prokurues Sh.A Albpetrol
Autoritet Prokurues Sh.A Albpetrol
Objekti i Tenderit Blerje GPS-GNSS Base / Rover dhe Total Station
Nr. Reference REF-24404-10-14-2024
Kodi CPV
Vlera / Fondi Limit 1 940 000,00
Lloji i Kontrates Publike Blerje Mallrash
Lloji i Procedures Procedurë e hapur e thjeshtuar
Statusi i Tenderit Lidhur Kontrata
Data e Njoftimit te Tenderit 15-10-2024
Data e fundit per dorezimin e Dokumenteve 25-10-2025
Data e mbajtjes se tenderit 25-10-2025
Nr. i Operatoreve Konkurues 3
Operatore Konkurues 1. “A & A SECURITY SURVEY” shpk,
2. ALB-MATRIX GROUP” shpk,
3. DWH - Albania” shpk,
Operator Ekonomik Kontraktues
  • ALB-MATRIX GROUP
  • Oferta fituese Leke pa TVSH 1 744 000,00
    Data e shpalljes se fituesit 18-11-2024
    Vlera e kontraktuar Leke me TVSH 2 092 800,00
    Data e lidhjes se kontrates 18-11-2024
    Kohezgjatja e kontrates 90 Dite
    Shtese kontrate (Leke me TVSH
    Ankesa Nga pjesëmarrësit është skualifikuar ofertuesi i mëposhtëm:

    1. Operatori ekonomik “DWH - Albania” shpk, me NUIS K81917016D nuk ka paraqitur dokumentacion te rregullt administrativo-ligjor e teknik, në përputhje me kërkesat për kualifikim të DST dhe rregullat e prokurimit
    Arsyeja e Anulimit
    Shenime Njoftim Fituesi Buletini Nr. 80 datë 18 Nëntor 2024
    Transaksione Thesari
  • Buletini i Prokurimeve Publike
    Njoftimi i Tenderit
    Shpallja e Fituesit
    Lidhja e Kontrates

    MBESHTETES

    Ketu mund te keni REKLAMEN tuaj

    Kontakto ne [email protected]

    Te drejtat e Perdorimit

    Persa kohe nuk percaktohet ndryshe, i gjithe informacioni i ofruar nga Open Procurement Albania ofrohet nen licencat: This material is Open Data